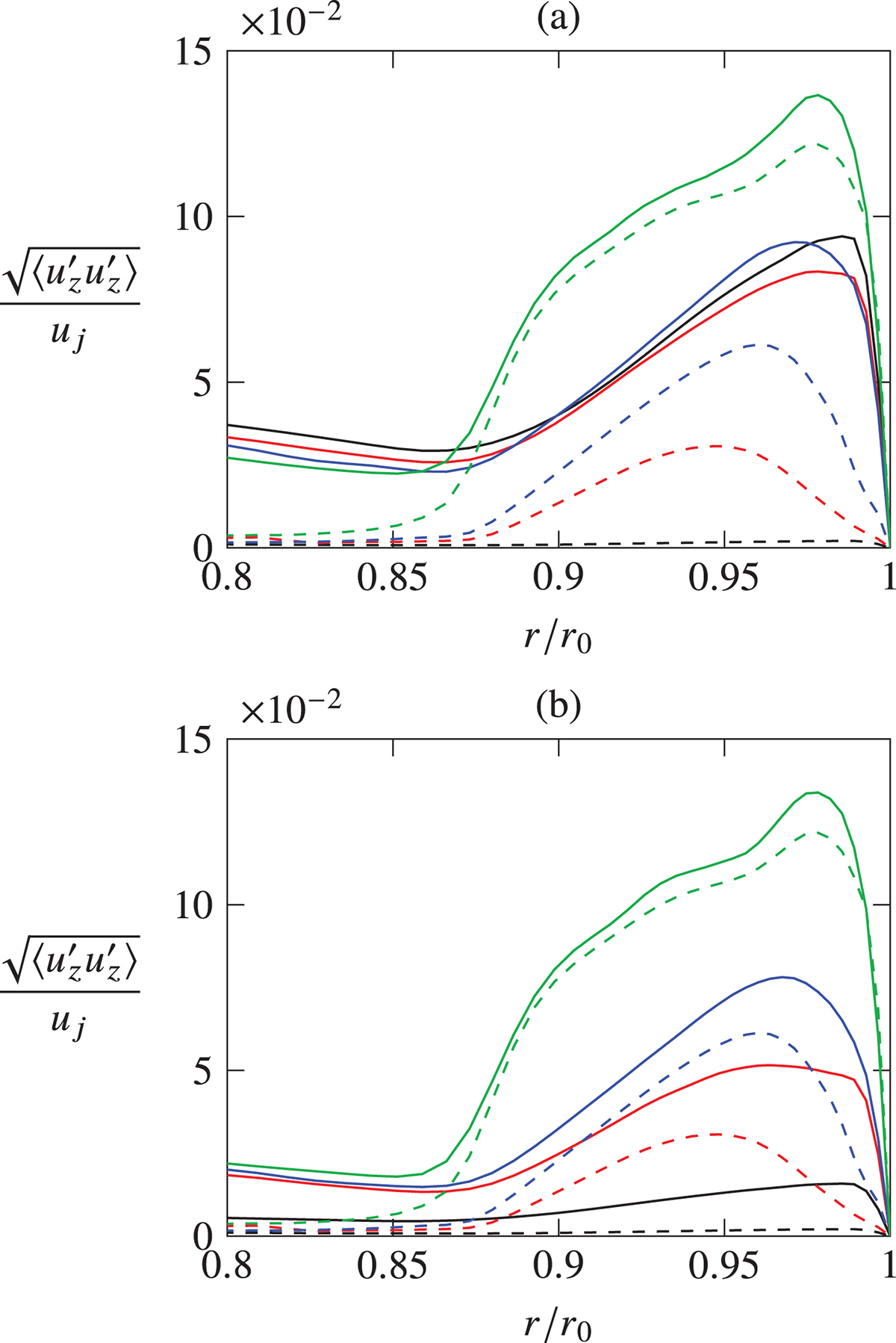
Figure 1.
Download original image
Nozzle-exit profiles of the RMS values of axial velocity fluctuations for (a) [0.1cm]8mm0.2mm L6T0%, red [0.1cm]8mm0.2mm L6T3%, blue [0.1cm]8mm0.2mm L6T6%, vert [0.1cm]8mm0.2mm L6T12% and (b) [0.1cm]8mm0.2mm L8T0%, red [0.1cm]8mm0.2mm L8T3%, blue [0.1cm]8mm0.2mm L8T6%, vert [0.1cm]8mm0.2mm L8T12%; (dashed lines) profiles for the corresponding free jets [4] with TBLtrip = 0%, 3%, 6% and 12%.
Current usage metrics show cumulative count of Article Views (full-text article views including HTML views, PDF and ePub downloads, according to the available data) and Abstracts Views on Vision4Press platform.
Data correspond to usage on the plateform after 2015. The current usage metrics is available 48-96 hours after online publication and is updated daily on week days.
Initial download of the metrics may take a while.
