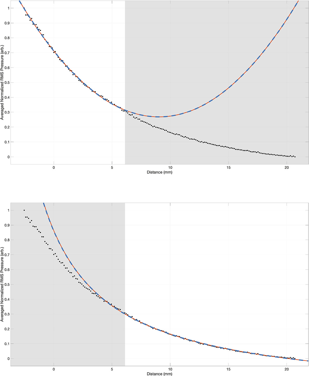
Figure 3.
Download original image
Normalized RMS pressure vs. position relative to the end of the pipe for a circular pipe at 870 Hz. Top: standing-wave (inside) fit; bottom: radiating-wave (outside) fit. The gray shading indicates points excluded from the fit and was determined using equation (2). LS (solid blue line) and empirical fits (dashed orange line) overlay closely with no visible difference, consistent with the nearly identical SSE values in Table 2.
Current usage metrics show cumulative count of Article Views (full-text article views including HTML views, PDF and ePub downloads, according to the available data) and Abstracts Views on Vision4Press platform.
Data correspond to usage on the plateform after 2015. The current usage metrics is available 48-96 hours after online publication and is updated daily on week days.
Initial download of the metrics may take a while.
