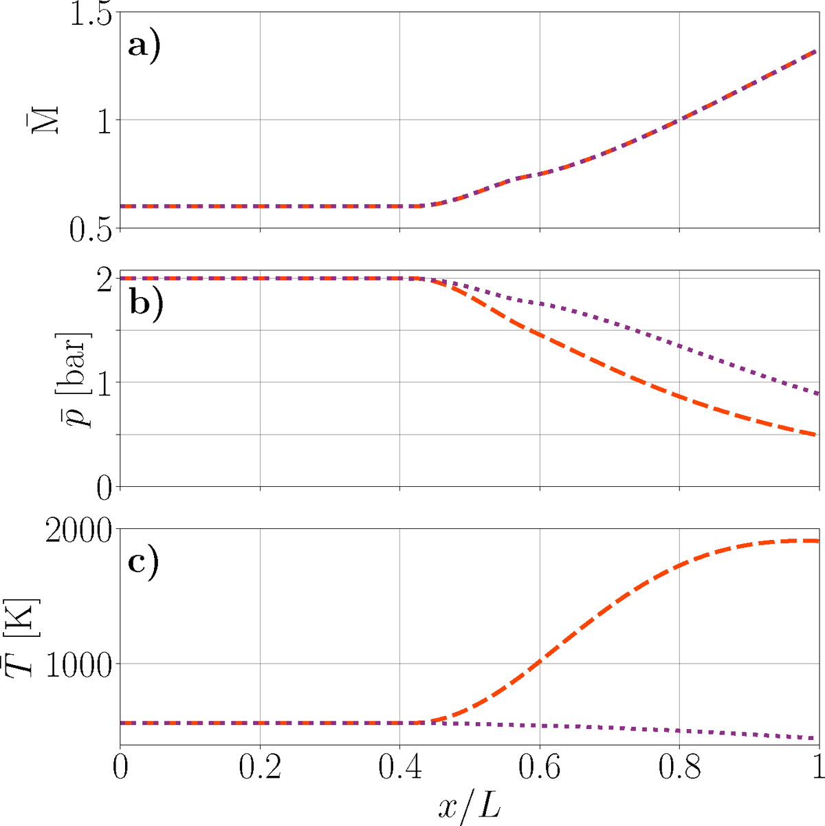
Figure 4.
Download original image
Steady-state flow fields as a function of the longitudinal length x/L for the geometric (…) and thermal throat (- - -) choking cases obtained from the CFD solver. The steady Mach number (
, (a)); the static pressure (
, (b)) and the static temperature (
, (c)) are displayed. Quantities are measured on the symmetry axis of the computational domain.
Current usage metrics show cumulative count of Article Views (full-text article views including HTML views, PDF and ePub downloads, according to the available data) and Abstracts Views on Vision4Press platform.
Data correspond to usage on the plateform after 2015. The current usage metrics is available 48-96 hours after online publication and is updated daily on week days.
Initial download of the metrics may take a while.
