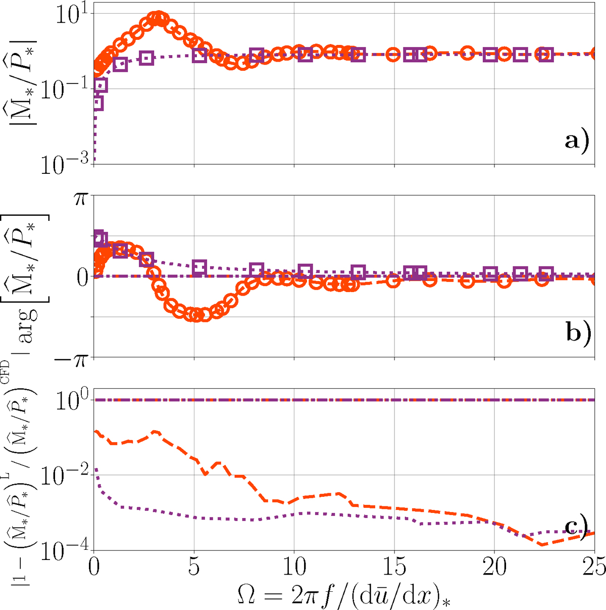
Figure 5.
Download original image
Modulus (a) and phase angle (b) of the normalized critical Mach number fluctuations due to isentropic acoustic forcing at the inlet ((Eq. 17)),
, plotted against the dimensionless frequency
. Symbols: (⃘) and (⃞) denote CFD results for the thermal and geometric throats, respectively; (- - -, - · -) and (… ., - · - ·) represent the corresponding results from the linear acoustic model (L) using the GEN (Eqs. (21) and (22)) or QSS ((Eq. 19)) boundary conditions, respectively. Panel (c) displays the relative deviation between the CFD and linear models results.
Current usage metrics show cumulative count of Article Views (full-text article views including HTML views, PDF and ePub downloads, according to the available data) and Abstracts Views on Vision4Press platform.
Data correspond to usage on the plateform after 2015. The current usage metrics is available 48-96 hours after online publication and is updated daily on week days.
Initial download of the metrics may take a while.
