Figure 5.

Download original image
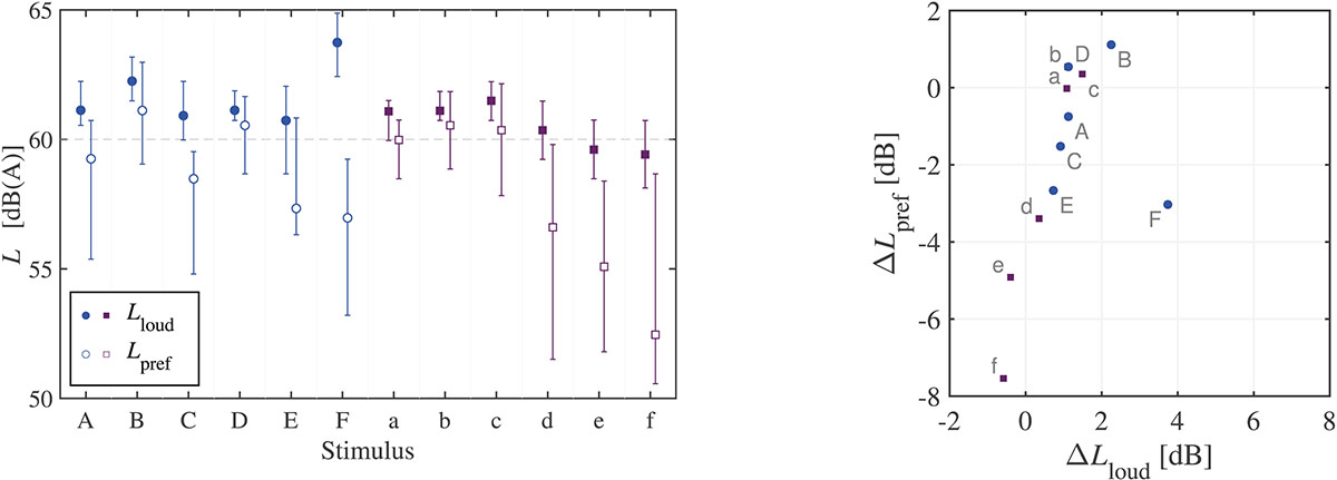
Left: median levels for equal loudness Lloud (filled) and equal preference Lpref (open) with interquartiles as errorbars for each stimulus across participants. The reference level of 60 dB(A) is indicated as dashed horizontal line. Right: relationship between the median level adjustment for equal preference Δ Lpref and the median level adjustment for equal loudness Δ Lloud.
Current usage metrics show cumulative count of Article Views (full-text article views including HTML views, PDF and ePub downloads, according to the available data) and Abstracts Views on Vision4Press platform.
Data correspond to usage on the plateform after 2015. The current usage metrics is available 48-96 hours after online publication and is updated daily on week days.
Initial download of the metrics may take a while.
