Figure 1.

Download original image
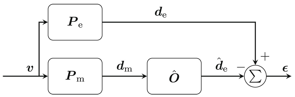
Block diagram of a remote microphone virtual sensing system. An observation filter,
, is used to acquire an estimate,
, of the sound field at the error microphones, de, from the signals measured at the monitoring microphones dm.
Current usage metrics show cumulative count of Article Views (full-text article views including HTML views, PDF and ePub downloads, according to the available data) and Abstracts Views on Vision4Press platform.
Data correspond to usage on the plateform after 2015. The current usage metrics is available 48-96 hours after online publication and is updated daily on week days.
Initial download of the metrics may take a while.
